1. Tujuan
- Memahami pengertian dioda semikonduktor dan level resistensi
- Mengetahui persamaan
yang berhubungan dengan dioda
semikonduktor dan level resistensi
- Membuat rangkaian dioda
semikonduktor dan level resistensi
- Menjelaskan prinsip kerja rangkaian dioda semikonduktor dan level resistensi
2.
Alat
dan Bahan
Alat:
·
Baterai
·
Ampermeter
·
Saklar
Bahan:
·
Dioda
Dioda adalah komponen elektronika aktif yang terbuat dari bahan semikonduktor dan berfungsi untuk mengalirkan arus listrik ke satu arah dan menghambat arus listrik dari arah sebaliknya.
·
Resistor
Resistor merupakan salah
satu komponen elektronika pasif yang berfungsi untuk membatasi arus yang
mengalir pada suatu rangkaian dan berfungsi sebagai teminal antara dua komponen
elektronika.
Tegangan pada suatu
resistor sebanding dengan arus yang melewatinya (V = I.R).
3. Dasar Teori
1.6
Semiconductor Diode (dioda semikonduktor)
Karena dioda adalah perangkat dua terminal, penerapan tegangan
pada terminalnya menyisakan tiga kemungkinan: tidak ada bias (VD = 0 V), bias maju (VD > 0 V), dan bias balik (VD < 0 V). Masing-masing adalah kondisi yang akan menghasilkan
respons yangoleh harus
dipahami dengan jelaspengguna jika perangkat akan diterapkan secara efektif.
Gambar
1.14 p-n sambungan tanpa bias eksternal.
A. Tidak ada Terapan Bias(VD = 0 V)
Di bawah ada bias (tidak ada tegangan yang diberikan)
kondisi, setiap pembawa minoritas (hole) dalam N materi -jenisyang
menemukan diri mereka dalam daerah deplesi akan melewati langsung ke P materi-jenis.
Semakin dekat pembawa minoritas ke persimpangan, semakin besar tarikan
untuk lapisan ion negatif dan semakin sedikit oposisi ion positif di
daerah penipisan n bahan tipe untuk pembawa minoritas masing-masing material.
Mayoritas pembawa n material tipe dan perisai ion negatif pada p material tipe
untuk berimigrasi ke area di luar penipisan region dari p bahan tipe.
Pemeriksaan yang cermat pada Gambar 1.14 akan mengungkapkan bahwa besaran
relatif vektor aliran sedemikian rupa sehingga aliran bersih di kedua arah
adalah nol. Pembatalan vektor ini ditunjukkan dengan garis bersilangan.
Kondisi tanpa bias untuk dioda semikonduktor
Kondisi bias
balik untuk dioda semikonduktor. Simbol untuk dioda diulangi pada Gambar
1.15 dengan n-dan p yang terkaitdaerah tipe. Perhatikan bahwa panah terkait
dengan pkomponen tipe-dan bilah dengan n wilayah tipe. Seperti yang
ditunjukkan, untuk VD = 0 V, arus ke segala arah adalah 0 mA
B. Kondisi Reverse-Bias (VD < 0 V)
Jika
potensial eksternal V volt diterapkan melintasi pn persimpangansedemikian
rupa sehingga terminal positif terhubung ke nmaterial tipe-dan terminal
negatif dihubungkan ke pmaterial tipe-seperti yang ditunjukkan pada
Gambar. 1.16, jumlah ion-ion positif yang tidak tertutup di daerah penipisan nbahan
jenis-akan meningkat karena banyaknya elektron "bebas" yang ditarik
ke potensial positif dari tegangan yang diberikan. Untuk alasan yang sama,
jumlah ion negatif yang tidak terlindungi akan meningkat pada p material
tipe-. Efek bersihnya, oleh karena itu, adalah pelebaran wilayah penipisan.
Pelebaran wilayah penipisan ini akan menjadi penghalang yang terlalu besar
untuk diatasi oleh mayoritas operator, secara efektif mengurangi aliran pembawa
mayoritas ke nol seperti yang ditunjukkan pada Gambar 1.16.
Gambar 1.16 bias terbalik p-n Persimpangan.
Penerapan potensial bias maju VD akan "menekan" elektron pada N material tipe-dan lubang pada pmaterial tipe-untuk bergabung kembali dengan ion di dekat batas dan mengurangi lebar daerah penipisan seperti yang ditunjukkan pada Gambar. 1.18. kembali Aliranminoritas-carriersulting elektron dari pbahan-jenis ke n-jenis material (dan lubang dari nbahan-jenis dengan pmateri-type) tidak berubah besarnya (karena tingkat konduksi dikendalikan terutama olehterbatas jumlah pengotor yangdalam material), tetapi pengurangan lebar daerah penipisan telah menghasilkan aliran mayoritas yang berat melintasi persimpangan. Elektron dari nbahan tipe-sekarang "melihat" penghalang tereduksi di persimpangan karena berkurangnyade daerahplesi dan tarikan yang kuat untuk potensial positif yang diterapkan pada ptipe- material. Karena bias yang diterapkan meningkat besarnya daerah penipisan akan terus berkurang lebarnya sampai banjir elektron dapat melewati persimpangan
Hubungan arus dioda (ID) dengan tegangan dioda (VD) dapat
dinyatakan dalam per- samaan matematis yang dikembangkan oleh W. Shockley,
yaitu:
dimana:
ID = arus dioda (amper)
Is = arus jenuh mundur (amper)
e =
bilangan natural, 2.71828...
VD = beda tegangan pada dioda (volt)
n = konstanta, 1 untuk Ge; dan 2 untuk Si
VT =
tegangan ekivalen temperatur (volt)
Harga Is suatu dioda dipengaruhi oleh temperatur, tingkat
doping dan geometri dioda. Dan konstanta n tergantung pada sifat konstruksi dan
parameter fisik dioda. Sedangkan harga VT ditentukan dengan persamaan:
dimana:
k = konstanta Boltzmann, 1.381 x 10-23
J/K (J/K artinya joule per derajat kelvin)
T = temperatur mutlak (kelvin)
q =
muatan sebuah elektron, 1.602 x 10-19 C
C. Kondisi Forward Bias (VD > 0 V)
bias maju atau “on” didirikan dengan menerapkan potensi positif terhadap pmateri-jenis dan potensi negatif untuk nbahan-jenisseperti ditunjukkan pada Gambar.
Gambar 1.19 Karakteristik dioda semikonduktor silikon
Daerah
Zener
Gambar 1.22 Wilayah Zener.
Seperti yang
ditunjukkan pada Gambar. 1.22 arus meningkat dengan kecepatan yang sangat
cepat ke arah yang berlawanan dengan daerah tegangan positif. The
reverse-bias yang potensial yang menghasilkan perubahan dramatis dalam
karakteristik disebut potensial Zener dan diberi simbol VZ. Ketika
tegangan melintasi dioda meningkat di wilayah bias balik, kecepatan
pembawa minoritas yang bertanggung jawab atas arus saturasi balik Is juga akan
meningkat. Akhirnya, kecepatan dan energi kinetik yang terkait akan
cukup untuk melepaskan pembawa tambahan melalui tumbukan dengan struktur atom
yang stabil. Daerah longsoran dapat didekatkan ke sumbu vertikal dengan
meningkatkan level doping pada p dan n material tipe. Namun, saat VZ
menurun ke level yang sangat rendah seperti 5 V, mekanisme lain yang
disebut kerusakan Zener, akan berkontribusi pada perubahan tajam pada
karakteristik. Wilayah Zener dari dioda semikonduktor yang dijelaskan
harus dihindari jika respons sistem tidak akan sepenuhnya diubah oleh perubahan
tajam karakteristik di wilayah tegangan balik ini. Potensi maksimum
reverse-bias yang dapat diterapkan sebelum memasuki wilayah Zener disebut
puncak terbalik tegangan atau tegangan puncak terbalik.
D. Silikon
versus Germanium
Gambar 1.23 Perbandingan Si dan Ge semikonduktor dioda.
Dioda silikon, secara umum,
memiliki PIV dan rating arus yang lebih tinggi serta suhu yang lebih luas berkisar
dari dioda germanium. Peringkat PIV untuk silikon bisa berada di sekitar 1000
V, sedangkan nilai maksimum germanium mendekati 400 V. Kaleng silicon digunakan
untuk aplikasi di mana suhu dapat naik hingga sekitar 200 ° C (400 ° F), sedangkan
germanium memiliki peringkat maksimum yang jauh lebih rendah (100 ° C).
Kerugiannya silikon, bagaimanapun, dibandingkan dengan germanium, seperti yang
ditunjukkan pada Gambar. 1.23, lebih tinggi. Ini adalah dibuktikan dengan
kesamaan dalam kurva setelah potensi offset tercapai. Itu potensi di mana
kenaikan ini terjadi biasanya disebut sebagai offset, ambang batas, atau potensi
menembak. Seringkali, huruf pertama dari suatu istilah yang menggambarkan
kuantitas tertentu digunakan dalam notasi untuk kuantitas itu. Namun, untuk
memastikan kebingungan minimal dengan istilah lain, seperti tegangan keluaran
(Vo) dan tegangan maju (VF), notasi VT telah diadopsi untuk buku ini, dari kata
"ambang".
E. Pengaruh
Suhu
Tidak jarang dioda germanium dengan Is berada
di urutan 1 atau 2 pada 25 ° C memiliki arus bocor 100 A 0,1 mA pada suhu 100 °
C. Tingkat saat ini sebesar ini di wilayah bias balik pasti akan mempertanyakan
kondisi sirkuit terbuka yang kami inginkan di wilayah bias balik. Nilai khas
dari Is untuk silikon jauh lebih rendah daripada germanium untuk daya dan
tingkat arus yang sama seperti yang ditunjukkan pada Gambar 1.23. Hasilnya adalah
bahwa bahkan pada suhu tinggi tingkat Is untuk dioda silikon tidak mencapai
tingkat tinggi yang sama dengan yang diperoleh untuk germanium — ini sangat
penting alasan bahwa perangkat silikon menikmati tingkat perkembangan yang jauh
lebih tinggi dan pemanfaatan dalam desain. Pada dasarnya, sirkuit terbuka
setara dalam pembalikan wilayah lebih baik direalisasikan pada suhu berapa pun
dengan silikon daripada dengan germanium. Kenaikan tingkat Is dengan suhu
menyebabkan tingkat ambang batas yang lebih rendah tegangan listrik, seperti
yang ditunjukkan pada Gambar 1.24. Cukup tingkatkan level Is di Persamaan.
(1.4) dan perhatikan kenaikan sebelumnya dalam arus dioda. Tentunya tingkat TK
juga akan semakin meningkat dalam persamaan yang sama, tetapi peningkatan
tingkat Is akan mengalahkan persentase yang lebih kecil perubahan TK. Ketika
suhu meningkat, karakteristik maju sebenarnya menjadi lebih "ideal",
tetapi kita akan menemukannya ketika kita meninjau lembar spesifikasi suhu di
luar rentang operasi normal dapat memiliki efek yang sangat merugikan pada daya
maksimum dioda dan level arus. Di wilayah bias balik, file tegangan rusaknya
meningkat dengan suhu, tetapi perhatikan peningkatan yang tidak diinginkan dalam
arus saturasi terbalik.
1. 7 Tingkat Resistensi
Sebagai titik operasi dioda bergerak dari satu daerah ke daerah lain perlawanan Dioda juga akan berubah karena bentuk nonlinear dari kurva karakteristik. Itu akan ditunjukkan dalam beberapa paragraf berikutnya bahwa jenis tegangan terapan atau Sinyal akan menentukan tingkat perlawanan bunga. Tiga tingkatan berbeda akan diperkenalkan di bagian ini yang akan muncul lagi saat kita memeriksa perangkat lainnya.
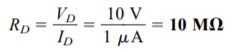
DC atau Resistensi statis
Aplikasi dari tegangan DC ke sirkuit yang berisi dioda semikonduktor akan menghasilkan titik operasi pada kurva karakteristik yang tidak akan berubah dengan waktu. Perlawanan dioda pada titik operasi dapat ditemukan hanya dengan menemukan Tingkat VD dan ID yang sesuai seperti ditunjukkan dalam gambar 1.25 dan penerapan berikut
Persamaan:
Tingkat perlawanan DC di lutut dan di bawah akan lebih besar dari resistensi tingkat yang diperoleh untuk naik vertikal bagian dari karakteristik. Tingkat resistensi di reverse-bias daerah secara alami akan cukup tinggi. Karena ohmmeter biasanya menggunakan sumber yang relatif konstan saat ini, perlawanan ditentukan akan berada pada tingkat saat ini ditetapkan (biasanya, beberapa milimeter).
Gambar 1.25 menentukan dc perlawanan dioda pada titik operasi tertentu. Secara umum, oleh karena itu, semakin rendah arus melalui dioda semakin tinggi dc tingkat perlawanan.
AC atau perlawanan dinamis
Hal ini jelas dari Eq. 1.1 dan contoh 1.1 bahwa perlawanan DC dari dioda adalah independen dari bentuk karakteristik di daerah sekitar titik bunga. Jika masukan sinusoidal daripada masukan DC diterapkan, situasi akan berubah sepenuhnya. Masukan yang bervariasi akan menggerakkan titik operasi seketika atas dan ke bawah suatu wilayah dari karakteristik-karakteristik dan dengan demikian mendefinisikan perubahan tertentu dalam arus dan tegangan seperti yang ditunjukkan dalam gambar. 1.27 Dengan tidak menerapkan berbagai sinyal, titik operasi akan menjadi Q-point muncul pada buah gambar 1.27 ditentukan oleh tingkat dc terapan. Sebutan Q-point berasal dari kata iesens, yang berarti "tenang atau tidak berubah".
Garis lurus ditarik ke kurva melalui Q-point seperti ditunjukkan dalam gambar 1.28 akan menentukan perubahan tertentu dalam tegangan dan arus yang dapat digunakan untuk menentukan AC atau perlawanan dinamis untuk daerah ini karakteristik dioda. Sebuah upaya harus dibuat untuk menjaga perubahan dalam tegangan dan arus sekecil mungkin dan sama jaraknya dengan kedua sisi Q-point. Dalam bentuk persamaan :
Yang curam, kurang nilai Vd untuk perubahan yang sama di Id dan mengurangi perlawanan. Resistensi AC di daerah naiknya vertikal oleh karena itu cukup kecil, sementara perlawanan AC jauh lebih tinggi pada tingkat rendah saat ini.
Kami telah menemukan perlawanan dinamis secara grafis, tapi ada definisi dasar dalam kalkulasi diferensial yang menyatakan:
Derivatif dari fungsi pada titik adalah sama dengan kemiringan garis tangen
Digambar pada saat itu.
Oleh karena itu, persamaan (1,6), sebagaimana didefinisikan oleh Fig. 1,28, pada dasarnya adalah menemukan derivatif fungsi pada Q-point of operation. Jika kita menemukan derivatif dari persamaan umum (1.4) untuk dioda semikonductor dengan hormat untuk yang diterapkan ke depan
Prasangka dan kemudian membalikkan hasilnya, kita akan memiliki persamaan untuk resistensi dinamis atau ac di daerah itu. Yaitu, mengambil derivatif Eq. (1.4) sehubungan dengan bias diterapkan akan dihasilkan
(ID adalah)
Mengikuti beberapa manuver dasar dari kalkulasi diferensial. Secara umum, ID adalah di
Bagian lereng vertikal dari karakteristik dan
Makna penting Eq. (1.7) harus dipahami dengan jelas. Ini menyiratkan bahwa Resistensi dinamis dapat ditemukan hanya dengan mengganti nilai samar arus dioda ke dalam persamaan. Tidak perlu memiliki karakteristik yang tersedia atau untuk khawatir mengenai membuat garis tangen sebagaimana didefinisikan oleh Eq. (1.6). Hal ini penting untuk menjaga akan tetapi, mengingat bahwa Eq. (1.7) hanya akurat untuk nilai ID dalam kenaikan vertikal bagian dari kurva. Untuk nilai ID yang lebih rendah, 2 (silikon) dan nilai rd yang diperoleh harus dikalikan dengan faktor 2. Untuk nilai ID kecil di bawah lutut Kurva, Eq. (1,7) menjadi tidak pantas.
Semua tingkat resistensi yang ditentukan sejauh ini telah ditentukan oleh persimpangan p-n dan tidak mencakup resistensi ma…
Rata-rata perlawanan AC
Jika sinyal masukan cukup besar untuk menghasilkan ayunan luas seperti yang ditunjukkan dalam gambar 1.30, perlawanan yang terkait dengan perangkat untuk daerah ini disebut resistensi ac rata-rata.
Rata-rata perlawanan ac adalah, menurut definisi, perlawanan ditentukan oleh garis lurus yang ditarik antara dua persimpangan ditetapkan oleh nilai maksimum dan minimum dari tegangan masukan. Dalam bentuk persamaan (catatan gambar 1.30)
Jika resistensi ac (rd) ditentukan di ID 2 mA nilai akan lebih dari 5, dan jika ditentukan pada 17 mA akan kurang. Di antara perlawanan ac akan membuat transisi dari nilai tinggi 2 mA ke nilai yang lebih rendah di 17 mA. Persamaan (1,9) telah menetapkan nilai yang dianggap sebagai rata-rata nilai ac dari 2 sampai 17 mA. Fakta bahwa satu tingkat perlawanan dapat digunakan untuk berbagai macam karakteristik akan terbukti cukup berguna dalam definisi sirkuit setara untuk diode di bagian berikutnya.
Seperti dengan tingkat perlawanan dc dan ac, semakin rendah arus yang digunakan menentukan rata-rata resistensi semakin tinggi tingkat resistensi.
Tabel Ringkasan
Example 1.1
Tentukan tingkat perlawanan DC untuk dioda pada gambar 1.26
(a) ID = 2 mA
(b) ID = 20 mA
(c) VD = -10 V
PROBLEM SUBCHAPTER 1.6-1.7
Problem 20
Menggunakan Persamaan. (1.4), tentukan arus dioda pada 20 ° C untuk dioda silikon dengan Is 50 nA dan bias maju yang diterapkan 0,6 V.
Jawab : persamaan 1.4
Is = 50 nA = 50 × 10-9 A
e = 2,71828….
VD = 0,6 V
n = 2 (untuk silikon)
VT =
à (1,381 × 10-23 J/K) (293 K)/ 1,602 × 10-19 = 0,02526 V = 25 Mv
ID = 50 × 10-9 [2,71828 (0,6/2 . 0,025) – 1]
= 50 × 10-9 [1,00752819 – 1]
ID = 0,38 × 10-9 A = 0,38 Na
Problem
Pilihan ganda
1. Yang termasuk komponen semikonduktor adalah...
a. SCR, FET dan MOSFET
b. TRIAC dan DIAC
c. Dioda, Transistor Bipolar dan UJT
d. Transistor Unipolar, SCR dan FET
e. MOSFET dan IC (intregated circuit)
Jawaban c
2. Tentukan resistansi DC dioda dengan kurva karakteristik seperti pada gambar di samping dengan
a.ID = 2 mA, b. ID = 20 mA
a. 250 Ohm dan 40 Ohm
b. 300 Ohm dan 40 Ohm
c. 275 Ohm dan 50 Ohm
d. 250 Ohm dan 45 Ohm
e. 200 Ohm dan 45 Ohm
Jawaban : A
a.) Pada ID = 2 mA maka besarnya VD = 0.5 V, maka RD = VD / ID = 0,5/0,002 = 250 Ohm
b.) Pada ID = 20 mA maka besar VD = 0,8 V , maka RD = 40 Ohm.
3. Sebuah dioda germanium menampilkan tegangan maju 0,25 V pada arus 10 mA pada suhu kamar. temukan arus saturnasi terbalik
a. 0,667 x 10-6 A
b. 0,877 x 10-6 A
c. 0,375 x 10-6 A
d. 0,980 x 10-6 A
e. 0,350 x 10-6 A
Jawab : 0,667 x 10-6 A
penyelesaian:
a.
Prosedur Percobaan
Langkah-langkah:
·
Siapkan alat dan bahan (komponen - komponen yang akan dirangkai)
·
Tempatkan alat dan bahan pada posisi yang diinginkan
·
Hubungkan setiap komponen yang sudah ditempatkan tadi
·
Setelah itu, coba run rangkaian tersebut
b.
Rangkaian simulasi
· Gambar rangkaian
Saat arus melewati dioda 1
Saat arus melewati dioda 2
·
Prinsip kerja
arus dari batrai akan diteruskan ke sebuah resistor lalu saat switch diatur agar arus melewati dioda 1 maka akan terbaca arusnya sebesar +9,31mA, sedangkan saat switch diatur agar arus melewati dioda 2 maka arus yang terbaca pada ampermeter sebasar 0mA.
c.
Video
d. Download file
- Simulasi Proteus klik disini
- Video Simulasi klik disini
- Datasheet Battery klik disini
- Datasheet Dioda klik disini
- Datasheet Resistor Klik disini












































Tidak ada komentar:
Posting Komentar